通知公告

通知公告

所在位置: 网站首页   >   通知公告   >   正文

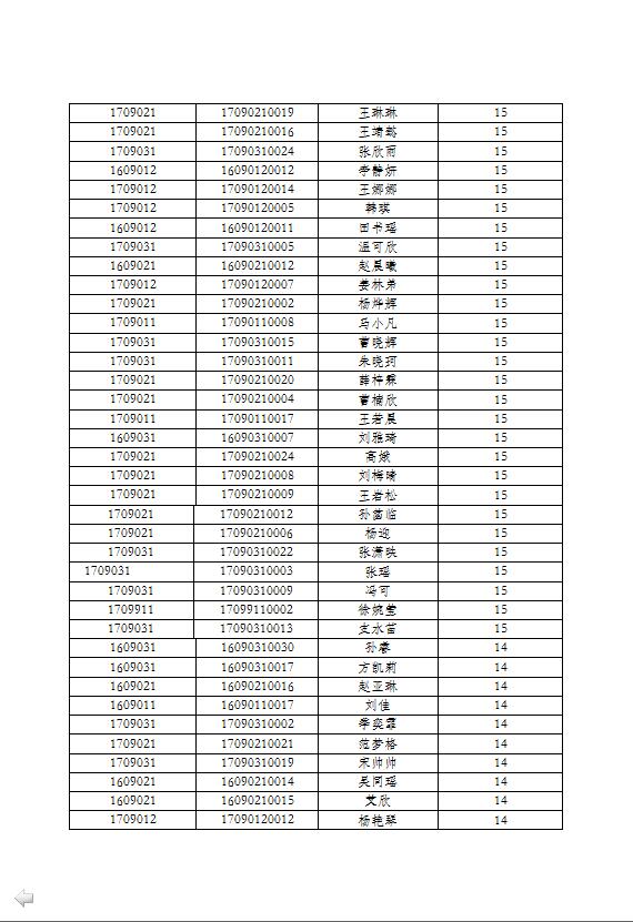
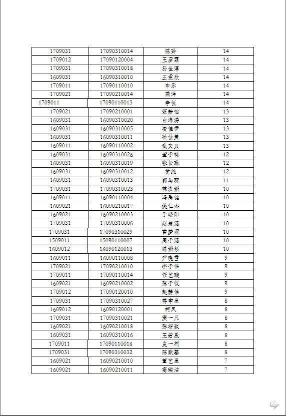
关于表彰2017年瑞金之星大学生合唱比赛中表现优秀的学生的通知

发布时间:2017-12-12  浏览次数:

纸质文件已在信远楼5楼公告栏公示。

邮箱:sfl@xidian.edu.cn 电话:029-81891389 

师德师风投诉邮箱:wangshuoyang@xidian.edu.cn

师德师风监督电话:029-81891027

南校区:信远II区425 

Copyright  ©  2013-2025 西安电子科技大学语言智能学部  版权所有 技术支持: 西安聚力